El Documento Básico del Código Técnico de la Edificación sobre Seguridad Estructural y Acciones en la Edificación (DB del CTE SE-AE) tiene como aplicación la determinación de las acciones sobre los edificios, no obstante, en el apartado D.3 Coeficientes de presión exterior, se indica que para comprobaciones locales de elementos de fachada –ventanas/puertas/fijos- el área de influencia será la del propio elemento, por lo que la acción del viento la podremos calcular a través de las ecuaciones del apartado 3.3.2 como presión estática= qe.
El valor de la presión estática qe es el producto de los siguientes factores: qb x Ce x Cp
El término qb es la presión dinámica y su valor depende de la zona eólica del territorio nacional (zonas A, B y C) donde esté situada la estructura a analizar. Puede tomarse, de forma simplificada, el valor de 0,5 kN/m2 para todo el territorio español. (0,52 kN/m2 en el caso de Canarias, la más restrictiva).
El coeficiente Ce, es el coeficiente de exposición y depende de las características del entorno (grados I, II, III, IV y V) del terreno y de la altura sobre el terreno donde esté situado el elemento a analizar (z). En edificios urbanos de hasta 8 plantas puede tomarse un valor constante, independiente de la altura, de 2,0.
El coeficiente eólico o de presión Cp de elementos de fachada depende de la dirección relativa del viento, de la forma del edificio, de la posición del elemento considerado y de su área de influencia. Para elementos con área (A) de influencia mayor a 1 m2 y menor a 10 m2 tomamos el valor del coeficiente eólico -1,3 (el más restrictivo) de la tabla D.1 del apartado D.3 Coeficientes de presión exterior, del SE-AE (siendo negativo porque se refiere a succión).

De esta forma, de cara a simplificar los cálculos, la presión estática máxima a soportar por el elemento de fachada según CTE DB SE-AE será: qe = 0,52 x 2,0 x (1,3) = 1,35 kN/m2= 1350 Pa (siempre que se trate de edificios urbanos de hasta 8 plantas y elementos de fachada con áreas entre 1 y 10 m2 ).
Existe una relación entre la presión y la velocidad del viento asociada:

Por lo que la velocidad del viento a soportar, equivalente a 1350 Pa, sería de unos 170 km/h.
Esta velocidad del viento, genérica y crítica, serviría para el diseño de elementos de fachada, al menos en las condiciones límites descritas (muy desfavorables).
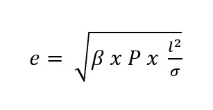
Tal podría ser el caso de los espesores de vidrios necesarios para escaparates. El método de cálculo más utilizado para este fin se basa en la siguiente ecuación de Timoshenko:

Donde:
e = espesor nominal de fabricación del vidrio en milímetros.
β = coeficiente adimensional que depende de la relación L/l, siendo L el lado más grande del vidrio y l el menor en metros. Función de si hay apoyo en 4 o en dos lados del vidrio.
P = presión uniformemente repartida en Pa. Calculable con el DB SE-AE del CTE. Por ejemplo: 1350 Pa.
σ = tensión de trabajo del vidrio o flexión en MPa (N/ mm²).
l = lado menor del vidrio (m) o borde libre para los vidrios con apoyo sobre solo 2 lados.
En base a esta ecuación, algunos fabricantes como SAINT GOBAIN GLASS, en su Manual del vidrio, determinan los espesores necesarios. Así, por ejemplo, para 1350 Pa (una presión que, como ya se ha comentado, será casi siempre más crítica que la de la mayoría de proyectos), el área máxima de vidrio recomendada en carpinterías verticales, con los 4 lados apoyados, con vidrio 6+6, sería de 4 metros cuadrados aproximadamente.

Documento Básico SE-AE. Seguridad Estructural Acciones en la edificación. Código Técnico de la Edificación. España.
CITAV. (2001). Manual del vidrio. Madrid. Saint Gobain Glass.









